Discrete state variables
![]() |
![]() |
| Vectorized | |
in the palette |
on the schematic |
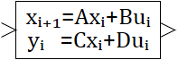
The block implements the description of a multidimensional linear dynamic system in matrix form:

where A, B, C, D are matrices, namely: eigenmatrix, input matrix, output matrix and bypass matrix, respectively; x[k] is a vector of state variables (dimension Nx); u[k] is an input vector (dimension Nu); y[k] is an output vector (dimension Ny).

where A, B, C, D are matrices, namely: eigenmatrix, input matrix, output matrix and bypass matrix, respectively; x[k] is a vector of state variables (dimension Nx); u[k] is an input vector (dimension Nu); y[k] is an output vector (dimension Ny).
The dimension of the matrix A is Nx×Nx. The dimension of the matrix B is Nu×Nx. The dimension of the matrix C is Nx×Ny. The dimension of the matrix D – Nu×Ny.
Inputs
- input – the port for the input signal of the block.
Outputs
- output – the output port of the block.
Properties
- Sampling period – sampling period of T block calculation.
- Number of state variables – Nx.
- Number of input actions – Nu.
- Number of outputs – Ny.
- Matrix A(Nx·Nx).
- Matrix B(Nu·Nx).
- Matrix C(Nx·Ny).
- Matrix D(Nu·Ny).
- Initial conditions (Nx) – vector of initial conditions, dimension Nx.
Parameters
none
Note:
- By default, the block implements scalar input signal processing.
- Coefficients ai, bj are introduced according to increasing powers z. For the proper operation of this unit, it is necessary to set the maximum integration step no more than 0.5·T. When integrating with a constant step, it is recommended to set the step such that the quantization period is a multiple of the integration step T = k·h, where k, h is an integer and the integration step.

